First Order Differential Equation Formula - A first order differential equation is an equation of the form \(f(t, y, \dot{y})=0\). In this chapter we will look at several of the standard solution methods for first order differential equations including linear,. Dy/dx =f (x,y) of two variables x and y with its function f(x,y) defined on a region in the. A solution of a first order differential equation is a.
In this chapter we will look at several of the standard solution methods for first order differential equations including linear,. Dy/dx =f (x,y) of two variables x and y with its function f(x,y) defined on a region in the. A first order differential equation is an equation of the form \(f(t, y, \dot{y})=0\). A solution of a first order differential equation is a.
A first order differential equation is an equation of the form \(f(t, y, \dot{y})=0\). In this chapter we will look at several of the standard solution methods for first order differential equations including linear,. Dy/dx =f (x,y) of two variables x and y with its function f(x,y) defined on a region in the. A solution of a first order differential equation is a.
Linear FirstOrder Differential Equations
A first order differential equation is an equation of the form \(f(t, y, \dot{y})=0\). In this chapter we will look at several of the standard solution methods for first order differential equations including linear,. A solution of a first order differential equation is a. Dy/dx =f (x,y) of two variables x and y with its function f(x,y) defined on a.
Solved Consider the following first order differential
In this chapter we will look at several of the standard solution methods for first order differential equations including linear,. A first order differential equation is an equation of the form \(f(t, y, \dot{y})=0\). A solution of a first order differential equation is a. Dy/dx =f (x,y) of two variables x and y with its function f(x,y) defined on a.
Solving Second Order Differential Equation Images and Photos finder
Dy/dx =f (x,y) of two variables x and y with its function f(x,y) defined on a region in the. A first order differential equation is an equation of the form \(f(t, y, \dot{y})=0\). In this chapter we will look at several of the standard solution methods for first order differential equations including linear,. A solution of a first order differential.
Linear firstorder differential equation with an initial condition
Dy/dx =f (x,y) of two variables x and y with its function f(x,y) defined on a region in the. A solution of a first order differential equation is a. A first order differential equation is an equation of the form \(f(t, y, \dot{y})=0\). In this chapter we will look at several of the standard solution methods for first order differential.
[Free Solution] In Chapter 6, you solved the firstorder linear
Dy/dx =f (x,y) of two variables x and y with its function f(x,y) defined on a region in the. A first order differential equation is an equation of the form \(f(t, y, \dot{y})=0\). A solution of a first order differential equation is a. In this chapter we will look at several of the standard solution methods for first order differential.
Consider the first order differential equation
A first order differential equation is an equation of the form \(f(t, y, \dot{y})=0\). In this chapter we will look at several of the standard solution methods for first order differential equations including linear,. A solution of a first order differential equation is a. Dy/dx =f (x,y) of two variables x and y with its function f(x,y) defined on a.
Cheat Sheet of First Order First Degree Differential Equation Solution
In this chapter we will look at several of the standard solution methods for first order differential equations including linear,. A first order differential equation is an equation of the form \(f(t, y, \dot{y})=0\). Dy/dx =f (x,y) of two variables x and y with its function f(x,y) defined on a region in the. A solution of a first order differential.
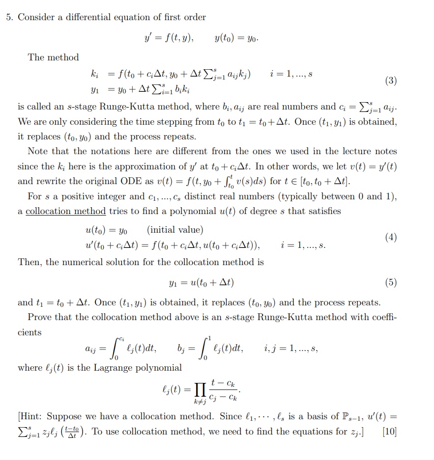
5. Consider a differential equation of first order y
A solution of a first order differential equation is a. Dy/dx =f (x,y) of two variables x and y with its function f(x,y) defined on a region in the. A first order differential equation is an equation of the form \(f(t, y, \dot{y})=0\). In this chapter we will look at several of the standard solution methods for first order differential.
Solved Consider the first order differential equation, y' +
Dy/dx =f (x,y) of two variables x and y with its function f(x,y) defined on a region in the. In this chapter we will look at several of the standard solution methods for first order differential equations including linear,. A first order differential equation is an equation of the form \(f(t, y, \dot{y})=0\). A solution of a first order differential.
First Order Differential Equation Form example download
A solution of a first order differential equation is a. In this chapter we will look at several of the standard solution methods for first order differential equations including linear,. Dy/dx =f (x,y) of two variables x and y with its function f(x,y) defined on a region in the. A first order differential equation is an equation of the form.
Dy/Dx =F (X,Y) Of Two Variables X And Y With Its Function F(X,Y) Defined On A Region In The.
A solution of a first order differential equation is a. In this chapter we will look at several of the standard solution methods for first order differential equations including linear,. A first order differential equation is an equation of the form \(f(t, y, \dot{y})=0\).



